SRM 1655 溶液量熱法(標準品)
產品名稱:SRM 1655 溶液量熱法(標準品)
英文名稱:Potassium Chloride, KCl (cr) for Solution Calorimetry
品牌:美國NIST
運輸信息:
| 產品編號 | 規格 | 貨期 | 銷售價 | 您的折扣價 |
|---|---|---|---|---|
| SRM 1655 | 1×30g | 現貨 | 立即咨詢 |
產品詳情
- COA
- MSDS
- COA
- MSDS
NIST SRM 1655溶液量熱法(標準品)由30粒硫蒽組成,經RC-結晶純化后,測定到BEC的純度至少為99.7%。SRM 1656適用于厚皮量熱儀和解析程序,并用于有機硫醚氧彈量熱法的計算。
在氧彈中燃燒這種物質的樣品所產生的公頃數量的確定值是:

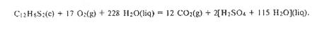
標準值的不確定度是平均值的兩倍于ovcrall標準差。平均值的ovcrall標準差是從McAn與硫蒽化合物的標準差、振動測量和SRM 39I(苯甲酰酸)標準值的THC不確定度計算出來的。Ccrtificd值用于lhe,在25℃時遵循rcaction:







陳經理(銷售)
